متن کامل توافق آتش بس غزه منتشر شد + جزئیات
منابع خبری متن کامل توافق میان حماس و اسرائیل در خصوص توقف جنگ و تبادل اسرای دو طرف را منتشر کردند.
به گزارش گروه رسانهای شرق،
منابع خبری متن کامل توافق میان حماس و اسرائیل در خصوص توقف جنگ و تبادل اسرای دو طرف را منتشر کردند.
طبق سندی که در رسانههای بینالمللی منتشر شده است، متن توافق میان حماس و رژیم اسرائیل که روز گذشته به امضای طرفین رسید از این قرار است:
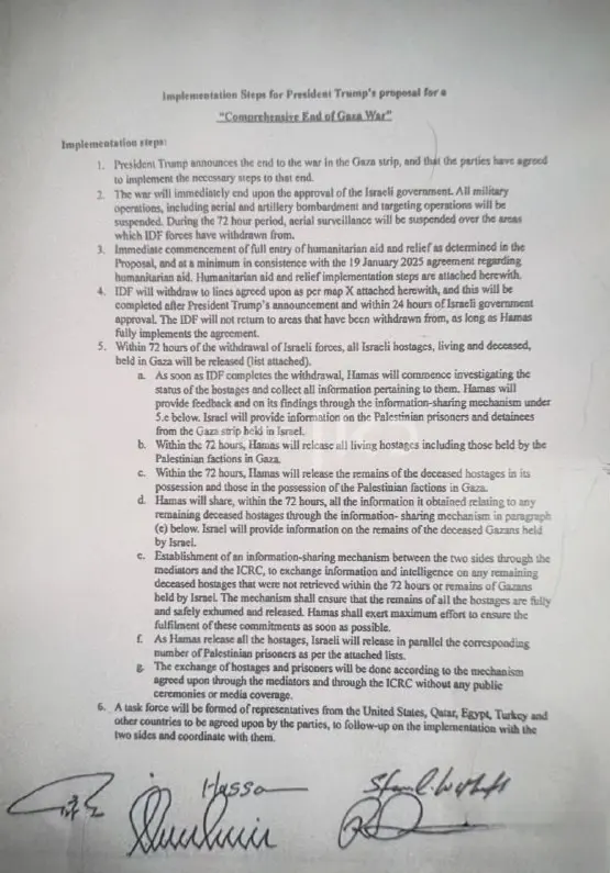
«مراحل اجرایی پیشنهاد رئیس جمهور ترامپ برای «پایان جامع جنگ غزه»
مراحل اجرا:
1. رئیس جمهور ترامپ پایان جنگ در نوار غزه را اعلام میکند و طرفین توافق کردهاند که گامهای لازم را برای این منظور بردارند.
2. جنگ بلافاصله پس از تأیید دولت اسرائیل پایان خواهد یافت. تمام عملیات نظامی، از جمله بمباران نظامی و توپخانهای و عملیات هدفگیری، به حالت تعلیق در خواهد آمد. در طول 72 ساعت، نظارت هوایی بر مناطقی که نیروهای دفاعی اسرائیل از آنها عقبنشینی کردهاند، به حالت تعلیق در خواهد آمد.
3. آغاز فوری ورود کامل کمکهای بشردوستانه و امدادی، همانطور که در پیشنهاد تعیین شده است و حداقل مطابق با توافقنامه 19 ژانویه 2025 در مورد کمکهای بشردوستانه. مراحل اجرای کمکهای بشردوستانه و امدادی به پیوست ارائه شده است.
4. ارتش اسرائیل به خطوط مورد توافق طبق نقشه X پیوست این سند عقبنشینی خواهد کرد و این امر پس از اعلام رئیس جمهور ترامپ و ظرف 24 ساعت پس از تأیید دولت اسرائیل تکمیل خواهد شد. ارتش اسرائیل تا زمانی که حماس به طور کامل توافق را اجرا کند، به مناطقی که از آنها عقبنشینی کرده است، باز نخواهد گشت.
5. ظرف 72 ساعت پس از عقبنشینی نیروهای اسرائیلی، تمام گروگانهای اسرائیلی، چه زنده و چه فوت شده، در غزه آزاد خواهند شد (لیست پیوست است).
الف. به محض اینکه نیروهای اسرائیل عقبنشینی را تکمیل کنند، حماس بررسی وضعیت گروگانها را آغاز کرده و تمام اطلاعات مربوط به آنها را جمعآوری خواهد کرد. حماس از طریق مکانیسم اشتراکگذاری اطلاعات ذیل بند 5.ه زیر، بازخورد و یافتههای خود را ارائه خواهد داد. اسرائیل اطلاعات مربوط به زندانیان و بازداشتشدگان فلسطینی از نوار غزه که در اسرائیل نگهداری میشوند را ارائه خواهد کرد.
ب. حماس ظرف 72 ساعت تمام گروگانهای زنده، از جمله گروگانهای گروههای فلسطینی در غزه را آزاد خواهد کرد.
ج. حماس ظرف 72 ساعت، بقایای گروگانهای متوفی که در اختیار خود و گروههای فلسطینی در غزه هستند را آزاد خواهد کرد.
د. حماس ظرف 72 ساعت، تمام اطلاعات به دست آمده در مورد گروگانهای فوت شده باقی مانده را از طریق مکانیسم اشتراکگذاری اطلاعات در بند (ه) زیر به اشتراک خواهد گذاشت. اسرائیل اطلاعات مربوط به بقایای افراد فوت شده غزه که در اسارت اسرائیل هستند را ارائه خواهد کرد.
ج. ایجاد یک سازوکار تبادل اطلاعات بین دو طرف از طریق میانجیگران و کمیته بینالمللی صلیب سرخ، برای تبادل اطلاعات و اخبار مربوط به هرگونه گروگان فوت شده باقی مانده که ظرف 72 ساعت پس گرفته نشدهاند یا بقایای ساکنان غزه که در اسارت اسرائیل هستند. این سازوکار تضمین میکند که بقایای همه گروگانها به طور کامل و ایمن از گور بیرون آورده شده و آزاد شوند. حماس تمام تلاش خود را برای اطمینان از اجرای این تعهدات در اسرع وقت به کار خواهد گرفت.
و. همزمان با آزادی گروگانها توسط حماس، اسرائیل نیز به موازات آن، تعداد متناظری از زندانیان فلسطینی را طبق فهرستهای پیوست آزاد خواهد کرد.
8. تبادل گروگانها و زندانیان طبق سازوکار مورد توافق از طریق میانجیها و از طریق کمیته بینالمللی صلیب سرخ و بدون هیچ گونه مراسم عمومی یا پوشش رسانهای انجام خواهد شد.
6. یک گروه ویژه متشکل از نمایندگان ایالات متحده، قطر، مصر، ترکیه و سایر کشورهایی که مورد توافق طرفین قرار خواهند گرفت، تشکیل خواهد شد تا روند اجرا را با دو طرف پیگیری و با آنها هماهنگی کند.

آخرین اخبار جهان را از طریق این لینک پیگیری کنید.